ヴォルテラの原理
捕食者と被食者の個体密度は周期的に振動し,その振幅と振動数は初期値に依存して決まります。
しかし,個体数の時間平均は一定であり休止点
に等しくなります。すなわち

ここで T は解の周期とします。

ですから,両辺を積分して

すなわち

を得ます。x(T)=x(0) より

となります。x の時間平均についても同様に
が成り立ちます。
以上により,ダンコナの疑問,なぜ戦争はサメを好むのか, サメなどの捕食者の個体数が, 戦争前よりもかなり高くなっていたことに対する答えの準備が整いました。
漁師による漁業活動は,被食者の増加率を減少させます。 a の代わりに a-k になるわけです。 同時に捕食者の減少率を増加させる c の代わりに少し大きな値 c+m になります。 しかし相互作用を表す定数 b, d は不変です。 従って,漁師による漁業活動が中断されている場合と比べて, 捕食者の個体数の時間平均は (a-k)/b で少し小さくなり, 被食者の平均は (c+m)/d で少し大きくなります。 戦争により漁業活動が中断されている間,この逆のことが起こり,捕食者は増加し, 被食者は減少したというわけです。
リヤプノフ関数
ロトカ・ヴォルテラ方程式が安定であるための1つの十分条件は リアプノフ関数 Lyapunov function, V(x,y) が存在することであるとされます。 逆に言えば,リアプノフ関数を見つけることができれば,その力学系は安定です。 前出のロトカ・ヴォルテラ方程式

のリアプノフ関数は,以下のとおりです。

この場合のリアプノフ関数 V(x,y) は時間とともに変化せず, 状態点は V(x,y) の等高線をたどりながら動きます。 すなわち一周すればかならず元に戻ります。 このようにシステムの状態の関数であって, 時間変化にともなって増えも減りもしないものを保存量といいます。 平衡点のまわりからずれていたとするとシステムの挙動は, 別の軌道に移り,平衡点には戻らりません。 しかし遠くには慣れてしまうわけでもありません。 このような平衡点は 中立安定 といわれます。
リアプノフ関数を見つけることは必ずしも簡単ではありません。 しかし,見つかればシステムの安定性解析に役立ちます。

ロトカ・ヴォルテラ方程式のリヤプノフ関数 a=1, b=0.002, c=1, d=0.02
種内競争を持つロトカ・ヴォルテラ方程式
もし,捕食者がいなければロトカ・ヴォルテラ方程式(2) の被食者は



を考えます。 この場合周期解になるとは限りません。 パラメータのとり方によってはある種が絶滅する場合もありえます。 一例を下図に示します。

種内競争をもつロトカ・ヴォルテラ方程式
実習
それでは実習です。
java LotkaVolterra2
してください。 上の図を描くシミュレータが起動します。 a, b, c, d, e, f のパラメータ, 及び初期値 x, y を変えて遊んでみてください。
アイソクライン
このときの
の平衡点を解析するために少し変形してみましょう。
x=0, y=0 すなわち両個体がいないときには変化がないのはすぐ分かります。
それ以外は,
傾き 0 の
アイソクライン
isocline (iso とは「同じ」という意味であり,cline とは「傾き」という意味)

と,同様に
のアイソクライン

を考えます。
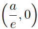
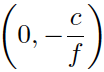
この二直線の交点が平衡点となる。平衡点の座標は
となります。
このとき x と y との増減は以下の表のようになります。
![]() |
![]() |
|
---|---|---|
![]() |
x, y とも減少 | x は増加,yは減少 |
![]() |
x は減少,y は増加 | x,yともに増加 |
すなわち,アイソクライン線の上下で x と y との増減を考えることができるわけです。 この方法のことをアイソクライン法と呼んでいます。
ここで,パラメータをいじっていろいろ遊んでみましょう。
たとえば,a=8, b=1, c=-6, d=-1, e=1, f=1 を考えます。
この場合,
だけが安定な平衡点になります。
パラメータにマイナスを使っているので,
もはや捕食者,被食者と呼ぶのは正しくないかも知れません。
そこで x 種 と y 種と表現することにすると,この場合 y 種は滅びる。
最初にどんなに y 種の個体数が多くても
は不安定平衡点であるので y 種は生き残ることができないのです。
a=8, b=1, c=-6, d=-0.3, e=1, f=1 を考えます。 この場合,両アイソクライン線の交点が安定な平衡点になって, どのような初期値から出発しても (3,5) に収束します。すなわち x 種と y 種との共存が実現するわけです。
a=8, b=1, c=-10, d=-1, e=0.5, f=1 を考えてみましょう。
この場合,両アイソクライン線の交点は不安定平衡点になる。初期値によって
y 種だけが生き残る
か,x 種だけが生き残る
に収束する双安定になります。
このようにパラメータを変化させると,2 種の共存か, 競争によって 1 種だけが勝ち残ることが生じます。 たとえば,2 種のトカゲが多数の島に棲んでいたとしましょう。 気候条件や栄養状態, 島の大きさなどがほぼ同じであっても, 両種が生息している島がないとすれば, 競争関係のために共存できなかったと考えられるわけです。 そのため,環境の変動や個体数などのランダム性のため島の個体群が滅びることが起こりというわけです。
もう一つの安定なロトカ・ヴォルテラ方程式,リミットサイクル
ロトカ・ヴォルテラ方程式をもう少し現実的にしてみましょう。

というモデルを考えます。 オリジナルのロトカ・ヴォルテラ方程式からの変更点は, 以下のとおりです。
- 捕食者のいないときに被食者は無限に増殖することはせず, ロジスティック方程式に従って環境収容力 K に収束する。 これは y=0 とおけば確かめられます。
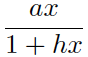
- 捕食者の摂食速度を
としたこと。 これは,餌が多いときには捕食速度は餌の量とともに増加します, あまりに多いと食べきれなくなるため飽和し,上限値 a/h を持ちます。
K が有限で h=0 であれば被食者の個体群を安定させる働きによってロトカ・ヴォルテラ方程式 の振動は止まります。

アトラクター
一方,捕食速度の飽和傾向だけを考慮すると K = ∞, h>0 システムは大域的に不安定になり,振動の振幅が時間とともに大きくなる。
この両方の効果が加わると 極限周期道(リミットサイクル) limit cycle が現れます。

リミットサイクル r=0.18, K=30.0, a=0.02, h=0.1, b=0.0504, c=0.25
実習
java LotkaVolterra3
してみてください。アトラクターやリミットサイクルが現れるパラメータを探してください。
殺虫剤に害虫の駆除は効果があるか
害虫 x と天敵 y を考え,

に殺虫剤の効果 -mx が加わったモデルを考えてみましょう。

殺虫剤を散布すると害虫 x は減るのでしょうか。 もちろん殺虫剤を散布すれば害虫の数は減ります。 ところが(28)の平衡状態を調べると m があっても平衡状態は変化しないことが分かるのです。 つまり害虫の増殖率を下げる効果が天敵 y のレベルを下げ, その結果,害虫の増殖率を上げるように働く効果があるのです。 これらの効果が打ち消しあってしまいます。
実際には,殺虫剤の効果 m は,天敵 y の生存率も下げるでしょう。 すると(28)の右辺にも -my という項を付け加えるモデルが考えられます。

この場合,殺虫剤の散布はかえって害虫 x の個体数を増加させてしまいます。 このように, 殺虫剤の散布がかえって害虫の個体数を増加させてしまうことはしばしば見られることなのです。 害虫が突然変異によって殺虫剤への耐性を進化させたと考えるよりも, 案外こういうところに原因があるのかも知れません。
ロトカ・ヴォルテラモデルの拡張
捕食者と被食者が多様な生態系では,ロトカ・ヴォルテラ方程式の多変数拡張が 用いられます。

種間の相互作用 aij は,i 種が j 種の捕食者であるなら
a
たとえば,光合成によって有機物を作る植物は生産者と呼ばれ,それを食べる 一時消費者(草食動物),さらにそれを食べる2次消費者(肉食動物)というように 多様な生態系が形作られます。 この(31)の安定性解析を行うことで,現実の生態系の実体に近づくものと思われます。
参考文献
- カール・シグムンド/冨田勝監訳. (1996). 数学でみた生命と進化. 東京: 講談社ブルーバックス.
- バージェス, & ボリー著/垣田,大町訳. (1990). 微分方程式で数学モデルを作ろう. 東京: 日本評論社.
- ホッフバウアー, & ジグムント/竹内康宏,佐藤一憲,宮崎倫子訳. (1998). 進化ゲームと微分方程式. 東京: 現代数学社.
- 佐藤總夫. (1984). 自然の数理と社会の数理 I,II. 東京: 日本評論社.
ゲーム理論 はジョン・フォン・ノイマン が開発したとされ,経済学の分野で発展してきたものです。 このゲーム理論は,生物学においても積極的に利用され, 進化ゲーム理論として発展してきました。
経済学においては, 各個人が最大化するように努めていると仮定される量は効用と呼ばれます。 これは,各人がさまざまな結果に対して持つ好みを表わすものです。 その結果,経済行動がうまく説明できるような効用関数を構成することができても, 観測された行動とは独立に効用関数を測定することはできません。
これに対して,生物学におけるゲーム理論では, 最適化すべきは遺伝子頻度の動態という自然過程が求められているため, 生涯を通じての繁殖成功度が個体の行動の良さを測る利得関数とみなされます。
生物が従わなければならない制約には,エネルギーの保存,活動時間の制約, 生化学反応の効率など,物理的,化学的, 個体の行動上の決定における情報の制約などが挙げられます。
ナッシュ均衡 Nash Equilibrium
動物か,鳥になったつもりになって考えてみましょう。A か B か,あるいは右か左か, 2 つの餌場があったと仮定しましょう。このとき,どちらの餌場に行けば良いかは, 簡単に決まります。餌がよりたくさんある餌場を選べば良いだけです。 生物学的には,摂食速度の高い方の餌場を選択する,と言ったりします。
ところが,複数の捕食動物がいるときには,状況が少し変わってきます。 つまり,多数の動物がひとつの餌場に集中すると,餌が得られる可能性が低くなってくるからです。 そのため,ある個体にとって,最適な行動とは,他の個体の行動によって変わってきます。 ところがその他個体も自分自身の行動を適応的に決めることになるので話はややこしくなってきます。
2 つの餌場にいる個体数を x1,x2 とします。 ある餌場での 1 個体あたりの摂食速度(せっしょくそくど)は, 採餌個体数(さいじこたいすう)が増えると減少していくと考えられます。 そこで,2 つの餌場でのそれぞれの摂食速度を fi とすると,

と表せることになります。
他の個体がいないとき,第 1 の餌場の方がエサが豊富だとしましょう。すなわち, a1 > a2 と仮定します。
個体数が全体で N とします。N が小さければ,すべての個体がエサが豊富な場所 (i = 1) に集中します。すなわち x1 = N かつ x2 = 0 です。
ところが,個体数が増加するにつれて,各個体の摂食速度は低下し,ついにはある時点で, i = 2 の餌場での摂食速度と等しくなります。さらに個体密度が増加すると, 1 番目の餌場と 2 番目の餌場とが両方とも利用されるようになります。 それぞれの個体が摂食速度の高い餌場選ぶとすれば, 平衡状態では 1 個体あたりの摂食速度が等しいという関係が成り立つはずです。 これを数式で表現すれば,

これを理想自由分布と言います。 この式 N = x1 + x2 とを連立させて解くと, それぞれの場所における採餌個体数を,全個体数 N の関数として求めることができます。
これは N 人のプレーヤーがおのおのの採餌速度を決めるというゲームとみなすことができます。 すなわち各個体が,採餌速度を利得関数とみなして, 利得が高くなるように餌場を決めるという戦略とみなした非協力的ゲームであると言います。 結果として得られる解のことを, ナッシュ均衡 (Nash equilibrium) と呼びます。
実際に,魚や池にいるカモの群れに 2 箇所で同時にエサをやるという実験をすると, それぞれの箇所の採餌速度に応じた数に個体数が分かれることが観察されるそうです。
このように,エサを得るという行動や繁殖などの行動はゲームとして記述可能であるという考え方があります。そしてこの考え方はゲーム理論によって定式化できるのです。 この場合の利得とは,個体の生存確率を最大化するような振る舞いをする関数となります。
進化生物学の立場では,子孫を残す確率が問題となります。 子孫を残す確率を最大化するように各個体が振舞うという意味であり, それぞれの個体が進化というゲームをしているとみなすのです。
進化とは何か
生物が進化するという事実を遺伝学的に見ると,以下のように考えることができるでしょう。
まず,交配(交尾)可能な生物集団,種と呼ばれる個体群の集団の中には, いくつもの異なる遺伝形質が存在しています。 ある広がりをもった「遺伝子プール」がその種によって保持されていると考えます。 生物は,広義の「環境」,すなわち種をとりまく生態系,つまり環境の中で生きています。 同種の他の個体や,他の生物との間には,相互に複雑に関係しながら暮らしています。 ここで,餌などの資源をめぐる競争や協力が行われます。 そして,それによって,より多くの資源を獲得した個体が,もっとも多くの子孫を残すことに成功するであろうと予想できます。 このような個体を「適応度が高い」と言います。 そして,適応度が高いことの直接の結果として, その個体は,自分と同じ遺伝形質をもつ個体を次世代に増やすことになります。 すなわち,ある生物集団内の遺伝子プールの中の遺伝子の分布は, 個体ごとの適応度の違いによって,変化します。 そして,この結果として,より適応度が高い個体が大きな割合を占めるようになると予想できます。 このような生物集団の形質の変遷が,進化生物学者が進化と呼んでいるものです。